2024年12月,2022级研究生莫明贵以第一作者在SCI二区TOP国际权威期刊《ISA Transactions》上发表研究成果《Adaptive backstepping sliding mode control for single-inductor double-output boost converter》,通讯作者为员工指导老师吴家荣副教授。

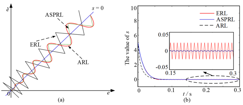
该论文提出了一种自适应反步滑模控制方法,降低了单电感双输出Boost变换器输出支路间的交叉影响和提升了变换器系统的动态响应性能。论文的主要贡献有:(1)提出了一种新型滑模自适应趋近率,降低了滑模抖振现象。(2)综合了精确反馈线性化、反步滑模控制、自适应控制等多种方法的优势,抑制了变换器输出支路间的交叉影响。(3)所提出控制方法设计简单,可应用于其他单电感多输出DC-DC变换器系统,为需要提供多路电压输出的电子设备提供了可行方案。

不同趋近律的比较:(a)滑模运动特性;(b)s随t的变化
该项研究工作得到了广西研究生教育创新计划项目、beats365官方网站人才引进科研启动项目和beats365官方网站相思湖青年学者创新团队的资助。
员工莫明贵于本科大四加入吴家荣副教授电能变换与控制创新团队课题组,从事电力电子变换器建模与控制研究,截至目前已发表高质量学术论文3篇,其中SCI二区2篇,中文核心期刊1篇,主持广西研究生教育创新计划项目1项,获得计算机软件著作权1项。(初审:李旭 复审:梁翠凤 终审:罗少科)